Abstract
- BERT에 영감을 받아 encoder-decoder 기반 언어 생성을 위한 MAsked Sequence to Sequence pre-training (MASS)을 제안
- random하게 input sentence에 연속적인 mask를 부여한 뒤 decoder가 predict하는 방식으로 encoder와 decoder를 jointly Pre-training시켜 Language Generation Task에 적합한 Model을 개발
- neural machine transla-tion, text summarization and conversational response generation을 포함한 zero/low-resource 데이터 셋에 대한 generation 작업
- 특히, dataset이 적은 Language Generation task에서 비약적인 성능 향상
1. Introduction
- Pre-train은 풍부한 데이터, Fine-tuning은 상대적으로 적은 양의 데이터
- 최근 등장한 pre-training language model : ELMo Open AI GPT, BERT
- 특히 BERT는 MLM과 NSP를 통해 양방향 encoder를 사전교육하여 NLU task에서 SOTA를 달성
- NLU tasks : 감정분석, NLI, NER, SQuAD question answering
NLU와 는 달리 language generation은 일부 입력에 조건화된 자연어 문장을 생성하는 것을 목표로 한다.
- Neural Machine Translation(NMT), text summarization, conversational response generation
언어 생성 작업은 일반적으로 데이터가 많이 필요한데(data-hungry), 많은 작업이 training data가 low or zero-resource이다.
- 이러한 자연어 생성 작업에 BERT를 적용하는 것은 불가능
- BERT는 하나의 encoder 또는 decoder에 의해 처리되는 language understanding을 위해 설계되었기 때문.
- 따라서, language generation task를 위한 사전 훈련 방법을 설계하는 방법이 중요
- 일반적으로 encoder-decoder 기반 seq2seq을 learning framework로 채택
요약 저자원의 언어 생성을 위해 pre-training 방법을 쓰고 싶은데 BERT를 바로 쓸 수 없으니 문제
MAsked Sequence to Sequence learning (MASS) for language generation (BERT에서 영감)
- seq2seq learning framework 기반
- encoder - 마스킹된 연속적인 토큰(이하 조각, fragment)을 입력으로 하는 문장
- decoder - 인코더 표현에 따라 마스킹된 조각을 예측
- BERT와 차이점 : encoder decoder를 jointly pre-train in two steps
- 디코더가 masked tokens를 예측하며, encoder는 unmasked tokens의 의미를 이해
- source에서 unmasked decoder token을 masking → MASS는 다음 token 예측을 위해 previous token이 아닌 source 표현에 더 많이 의존 하도록 강제
- ⇒ facilitating the joint training between encoder and decoder.
2. Related work
2.1. Sequence to Sequence Learning
- Language generation task에서 paired 데이터가 부족
- Unpaired 데이터에 pre-training을 하고 scale이 작은 paired 데이터에 fine-tining
2.2. Pre-training for NLP task
- feature-based approach
- 특정 task를 수행하는 network에 pre-trained language representation을 추가적인 feature로 제공
- 즉, 두 개의 network를 붙여서 사용
- e.g. ELMo
- fine-tuning approach
- task-specific한 parameter를 최대한 줄이고, pre-trained된 parameter들을 downstream task 학습을 통해 조금만 바꿔주는(fine-tuning) 방식
- e.g. BERT, OpenAI GPT
⇒ 기존의 모델들은 encoder – decoder의 한 부분만을 pre-training
- XML과 같은 encoder-decoder를 둘 다 학습하는 방법도 있었지만 이는 encoder와 decoder를 분리하여 pre training되며 encoder-decoder attention mechanism pre-train X
- → seq2seq 기반 language generation task에서 sub-optimal !

MASS는 unlabeled 을 사용하여 encoder와 decoder를 모두 공동으로 pretrain하도록 설계되어 language generation task에 용이하게 사용할 수 있다.
3. MASS
3.1. Sequence to Sequence Learning

- seq2seq 주요 접근법은 encoder-decoder framework라는 것.
- encoder: source sequence를 읽고 representation을 생성
- decoder: source 표현과 이전 tokens가 주어진 경우 각 대상 토큰의 조건부 확률을 추정
- attention mechanism: 현재 토큰을 예측할 때 초점을 맞출 source representation을 찾음
3.2. Masked Sequence to Sequence Pre-training
: unsupervised prediction task


BERT와 GPT
- masking 길이 hyperparameter $k$를 통해 BERT와 GPT는 MASS의 특별한 경우로 표현할 수 있음


3.3. Discussions
- MASK token만 predict하게 함으로써 encoder는 unmasked token들에 대한 context를 학습, decoder가 encoder로부터 좋은 정보 추출 (encoder가 context vector를 제대로 생성해내도록 한다.)
- MASK token을 연속적으로 배치함으로써 decoder가 단순 word들이 아닌 subsentence 생성 (better language modeling capability)
- Decoder의 input으로 source sentence의 unmasked token들이 들어오지 못하게 함으로써 decoder의 input token들에서 정보를 활용하기보다 encoder에서 넘어온 context vector의 정보를 활용하도록.
Experiments and Results
4.1 MASS Pre-training
Model Configuration
- 6개의 encoder, decoder layer를 가진 Transformer를 Base Model로 선택
- NMT를 위해 source language와 target language에 대해 각각 monolingual data로 pre-train을 진행했다. English-French, English-German, English-Romanian의 3가지 pair 를 사용
- 각 pair에 대해서 별개로 학습을 진행했으며, 이 때 source language와 target language를 구분하기 위해 새로운 language embedding을 encoder input과 decoder input에 추가
- Text Summarization, Conversational Response Generation task → English
Datasets
- WMT News Crawl Dataset
- English, French, German, Romanian
- Romanian: low-resource language
- BPE
Pre-Training Details
- BERT와 동일한 masking rule
- hyperparameter $k$는 전체 sentence 길이 ~~ $m$의 50%
4.2. Fine-Tuning on NMT
Experimental Setting
- Unsupervised NMT- back-translation
- bilingual data가 없기 때문에 soruce language data로 가상의 bilingual data를 생성 해내는 것(back-translation)이다.
Results on Unsupervised NMT

- RNN 계열(1,2행) / Transformer without pre-train(3,4행) / Transformer with pre-train(5행)
- SOTA
- unsupervised NMT 어렵기에, 절대적인 Score는 낮지만 기존 sota model XLM을 능가했다는 점에서 의미
Compared with Other Pre-training Methods

BERT와 동일한 방식으로 Pre-train을 진행한 BERT+LM, denoising autoencoder Pre-train 방식을 적용한 DAE를 모두 능가
Experiments on Low-Resource NMT

- Pre-train은 20000 step 진행했으며, bilingual dataset의 sample 크기가 10K, 100K, 1M 인 경우에 대해서 각각의 언어에 대해 별개로 성능을 측정
- baseline model: without pretrain
- 모든 경우에서 MASS가 baseline model을 압도, 특히 sample의 크기가 작을 수록(fine-tuning을 적게 수행할수록) 성능의 차이가 컸다.
4.3. Fine-Tuning on Text Summarization
4.4. Fine-Tuning on Conversational Response Generation
4.5. Analysis of MASS
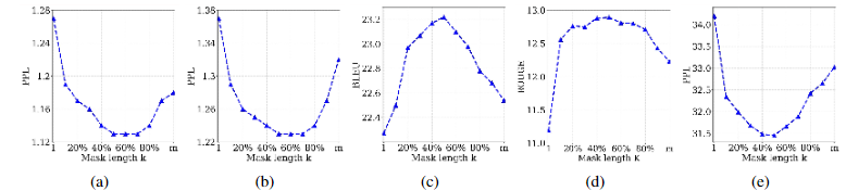
Study of Different k

- hyperparameter $k$의 값 변화에 따른 Score 측정
- (a), (b) : English, French Pre-training 후 PPL Score (without fine-tining)
- max score: $k$가 $m$의 50%~70%
- (c) : English-French NMT BLEU Score
- (d) : Text Summarization ROUGUE score
- (e) : Conversational Response Generation PPL Score
- max score: $k$가 $m$의 50%
- $k$가 $m$의 50%라는 수치는 직관적으로 이해했을 때에도 가장 적합
- $k$값 감소 → masking 감소 → encoder input 변형 감소 → decoder input 감소
- ⇒ encoder 의존도 증가
- $k$ 값 증가 → masking 증가 → encoder input 변형 증가 → decoder input 증가
- ⇒ decoder 의존도 증가
- language generation task에서 encoder와 decoder에 편향되면 x ⇒ 50%가 좋음
- $k=1$(BERT의 MLM), $k=m$ (GPT) 둘 다 language generation task에서 낮은 성능
'Deep Learning > Natural Language Processing' 카테고리의 다른 글
| Encoders and Ensembles for Task-Free Continual Learning 리뷰 (0) | 2022.03.11 |
|---|---|
| Prompt Learning 오픈소스: OpenPrompt 리뷰 (0) | 2022.03.11 |
| GPT Understands, Too 리뷰 (0) | 2022.03.11 |
| XML, Cross-lingual Language Model Pretraining 리뷰 (0) | 2022.02.22 |
| Transformers 가족 (BERT vs GPT vs GPT2) (0) | 2021.06.01 |
댓글